三、調節閥的流量系數計算
日期:2021/04/26
瀏覽:
127計算液體流量系數Kv時,按幾種情況進行?
在計算液體流量系數Kv時,按三種情況分別進行計算:非阻塞流、阻塞流、低雷諾數。在用判別式判定之后,用不同的公式進行計算。
128非阻塞流怎樣判定和計算?
是非主塞流情況,此時修正量為零,仍舊采用原公式
(3-19)
此處的壓力單位或壓差單位用的是kgf/cm2;這是照顧過去長期使用工程單位的習慣,且許多資料都是用工程單位制表示,這樣使得應用起來方便。
129阻塞流怎樣判定和計算?
其中,△Pc按上面兩種情況分別代入不同的值進行計算。
130可壓縮流體是否產生阻塞流的判斷條件是什么?
可壓縮流體的流動有非阻塞流和阻塞流兩種情況,這兩種情況下所有公式不同。
131氣體非阻塞流的流量系數計算公式如何?
氣體非阻塞流Kv值計算公式仍用平均重度法公式,其公式如下:
(3-21)
132氣體阻塞流的流量系數計算公式如何?
氣體阻塞流Kv值計算公式,是在平均重度法的基礎上加以修正的。一般只需將原平均重度法的阻塞流公式乘以
即可
(3-22)
133蒸氣的流量系數Kv的計算公式如何?
蒸氣分為飽和蒸氣和過熱蒸氣。飽和蒸氣又分為非阻塞流動和阻塞流。
當壓差比
時,為非阻塞流動,這時流量系數計算公式為
(3-23)
當壓差比
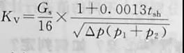
時,為阻塞流動,這時流量系數計算公式在飽和蒸氣的原平均重度法的阻塞流公式的基礎上乘以1/FL,即
(3-24)
若要更些,則再除以一個系數(y-0.148y3),其中
得
(3-25)
對于過熱蒸氣、流動狀態,判別與上面相同。
若是非阻塞流,其Kv值計算公式如下
(3-26)
若是阻塞流,其Kv值計算公式如下
(3-27)
134平均重度修正法計算流量系數Kv的步驟如何?
用平均重度修正法計算流量系數Kv的步驟如下。
一步:根據已知條件查參數FL、pc(表3-2、表3-3)。
第二步:判別流動狀態。
(1)判別飽和蒸氣壓pv是大于還是小于0.5p1。
液體 :①△p<△pc為一般流動;
②△p≥△pc為阻塞流動。
氣體:
(2)若pv<0.5P1,則取△pc =FL2(p1-pV);
若pv≥0.5p1,則取
第三步:根據流動狀態采用相應Kv值計算公式。
135下述工況的介質液氨如何計算流量系數?
介質液氨,T=33℃,r=0.59gf/cm3,Q=13t/h。p1=530×100kPa,p2=70×100kPa,△p=460×100 kPa, pv=15×100 kPa,選用高壓閥、流閉型,試計算流量系數Kv。
解 一步:查表3-1得FL=0.8、查表3-2得pc=114.5×100 kPa.
第二步:0.5 p1=265>pv
△pc= FL2(p1-pV)=0.82(530-15)=329.6
由于△p>△pc,判定為阻塞流動。
第三步:采用阻塞流動公式
136下述工況的介質水如何計算流量系數Kv?
已知介質水的流量QL=100m3/h,r=0.97gf/cm3,t1=80℃, p1 =11.7kgf/cm2,p2kgf/cm2,pv=0.47kgf/cm2,試選擇調節閥并計算Kv值。
解(Ⅰ)先用V形球閥
查表3-1,V形球閥的FL=0.57
因為 0.5 p1 =0.5×11.7=5.85>pv =0.47
所以 △pc =FL2(p1-pV)=0.575(11.70-0.47)=3.6486
則△p =p1-pV =11.7-5=6.7>△pc,為阻塞流動。
采用阻塞流動公式(3-20)
解(Ⅱ)選用流開流向的直通雙座閥
查表3-1,FL=0.90
因為 0.5 p1=5.85>pV=0.47
所以 △pc = FL2(p1-pV)=0.902(11.70-0.47)=9.096
則△p =6.70<△pc=9.096,為非阻塞流動。
可按公式(3-13)計算
137下述工況的介質空氣,如何計算流量系數Kv?
介質空氣,t=20℃,rN=1kgf/m3(標準),QN=100m3(標準)/h, p1=2kgf/cm2(絕壓),p2=1.5kgf/cm2(絕壓),△p =0.5 kgf/cm2,選用單座閥,流開型,試計算流量系數Kv。
解 一步:查表FL=0.9
第二步:
判定為一般流動。
第三步:采用一般流動Kv值計算公式
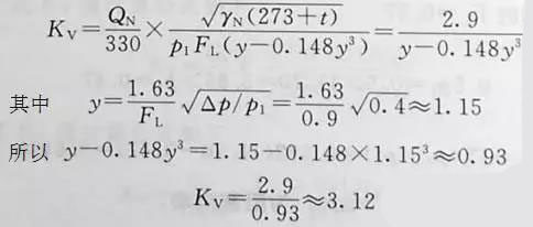
138將上問中的參數p2改為p2=1.1kgf/cm2,又如何計算流量系數?
解 △p =2-1.1=0.9kgf/cm2
又因為壓差比
所以為阻塞流動,采用公式為
若要理準確些時,上式再除以(y-0.148y3),即

139平均重度法原公式與平均重度修正法公式比較有何不同?
歸納起來,有兩個不同:一是流動狀態判別式不同;二是在阻塞流動的情況下計算公式不同,引入了三個新的參數,分別為壓力恢復系數FL、臨界點壓力p C、(y-0.148y3)。
相關文章
- 2023/03/14新一代液控蝶閥結構、特點原理說明書
- 2023/03/09閥門限位開關構造和原理
- 2023/02/15截止閥T形閥體,角式閥體和Y形閥體形式
- 2023/02/1047種常見儀表原理,結構原理一清二楚
- 2021/08/14電動調節閥的結構和原理,常見故障及處















電動閥門